Sie verwenden einen veralteten Browser, der von LabXpert nicht mehr unterstützt wird. Bitte nutzen Sie LabXpert mit einem der vorgeschlagenen Browser, wie z.B. Google Chrome, Mozilla Firefox, Microsoft Edge oder Apple Safari. Vielen Dank!

Hennae folium

Pflanze, Zeichnung*
Pflanze, Zeichnung*
Droge, Foto**
Droge, Foto**

Droge: Hennae folium / Hennablätter

Pflanze: Lawsonia inermis / Hennastrauch

Familie: Lythraceae / Weiderichgewächse

Gruppe: Weitere Naphtochinoid-Drogen

Herkunft: Subtropische Zonen Vorderasiens und Nordafrikas

  • Duftender, laubabwerfender Strauch oder kleiner Baum mit steifen, breit ausladenden Zweigen und Wuchshöhen von 1,5 bis 8 m
  • Manchmal an kleineren Ästen Kurztriebe mit Stacheln, meist jedoch unbewehrt (lat.: inermis = "wehrlos")
  • Kurz gestielte Blätter sitzen gegenständig an den Zweigen angeordnet; glatte, ganzrandige, eiförmige bis elliptische, silbrig-grüne, ledrige Laubblätter, an beiden Enden zugespitzt, 8 bis 44 mm lang und 2 bis 20 mm breit; Nebenblätter fehlen
  • In endständigen, großen, sympodial verzweigten, 3 bis 22 cm lang ripigen Blütenständen stehen viele Blüten zusammen; 3-4 Kronblätter mit 'zerknittertem' Aussehen und je nach Varietät unterschiedlicher Farbe: weißlich, gelb, rosa (Lawsonia inermis var. rubra) und rötlich (Lawsonia inermis var. miniata)
  • Kugelförmige, etwa erbsengroße Kapselfrüchte von purpurschwarzer bis blauschwarzer Farbe

Allgemein: Henna wird aus den getrockneten und zerriebenen bzw. zermahlenen Blättern des Hennastrauches gewonnen. Geerntet werden diese, durch einfaches Abstreifen von den Zweigen. Die Blätter sind bis zu 2 cm lang, eilanzettlich, stachelspitzig und am Grund assymetrisch keilförmig in den Blattstiel verschmälert. Um den enthaltenen Farbstoff nutzen zu können, müssen die Blätter an einem dunklen schattigen Ort getrocknet (Farbstoff ist photoinstabil) und zu Pulver vermahlen werden.

Mikroskopie: Polygonale Epidermiszellen; 1-3 Reihen Palisadenzellen mit gelbem Farbstoff und Oxalatdrusen; im Pulver häufig aus der Frucht stammende Steinzellen

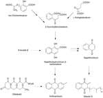
Naphthochinoide: Lawson ("Henna-Farbstoff") bzw. dessen Vorstufe 1,2,4-Trihydroxynaphtalin-4-β-O-glucosid

Lawson
Lawson

Volkstümliche Verwendung als Adstringens bei Hauterkrankungen (äußerlich)

  • Heute in Deutschland keine Anwendung als Arzneidroge
  • Verwendung aber in der Kosmetikindustrie in Haarprodukten und als reversibler Farbstoff bei Tatoos (Farbe verschwindet nach einigen Tagen)
  • In der islamischen Welt ist die Verwendung von Henna zum Färben der Hände sowie der Fußsohlen weit verbreitet

Premium-Login

Melden Sie sich für Ihren persönlichen Premium-Bereich auf pharma4u.de an.

Noch keinen Zugang? Jetzt registrieren

Kontakt

Brauchen Sie Hilfe? So erreichen Sie uns.

06196/202558-0
Mo - Fr, 9 - 13 Uhr
FAQ
Häufige Fragen