Sie verwenden einen veralteten Browser, der von LabXpert nicht mehr unterstützt wird. Bitte nutzen Sie LabXpert mit einem der vorgeschlagenen Browser, wie z.B. Google Chrome, Mozilla Firefox, Microsoft Edge oder Apple Safari. Vielen Dank!

Rhamni purshiani cortex

Pflanze, Zeichnung*
Pflanze, Zeichnung*
Droge, Foto**
Droge, Foto**

Droge: Rhamni purshiani cortex / Cascararinde

Pflanze: Rhamnus purshianus (Syn. Frangula purshiana) / Amerikanischer Faulbaum

Familie: Rhamnaceae / Kreuzdorngewächse

Gruppe: Anthocyan-Drogen und Gerbstoff-Drogen

Herkunft: <b> </b>pazifische Küste Nordamerikas

  • Laubabwerfender Strauch oder bis zu 12 m hoher Baum
  • Länglich-eiförmige Blätter
  • Kleine grünliche Blüten
  • Etwa 10 mm große, schwarzpurpurne Früchte (unreif rot)

Allgemein: Flache, rinnenförmig gewölbte oder eingerollte Stücken von bis zu max. 5 mm Dicke. Graubraune, teilweise schwach glänzende Außenseite mit wenigen quergestreckten Lentizellen; oft sind noch Reste von Moosen oder Flechten vorhanden. Die längsgestreifte Innenseite ist gelblich- bis dunkelbraun.

Mikroskopie: Steinzellnester und Faserbündel, die von kristallführenden Zellreihen umgeben sind

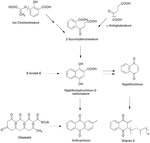
  • Mindestens 8% Hydroxyanthranoidverbindungen, davon mindestens 60% Cascaroside
    → Gesamt-Glykosidgehalt der Droge setzt sich aus 80-90% C-Glykosiden und 10-20% O-Glykosiden zusammen

  • → C-Glykoside: Cascarosid ABCD, Aloin A, B sowie Chrysaloin (= 11-Desoxyaloin)
  • → O-Glykoside von Aloeemodin und Frangulaemodin

AloinA
AloinA
AloinB
AloinB
Aloeemodin
Aloeemodin
CascarosidA
CascarosidA
CascarosidB
CascarosidB
CascarosidC
CascarosidC
CascarosidD
CascarosidD
Chrysophanol
Chrysophanol
Frangulaemodin
Frangulaemodin

Indikation: Anwendung bei Obstipation (Komm. E+)

Wirkmechanismus: Darm: siehe Aloe capensis

Nebenwirkungen: Darm: siehe Aloe capensis

Die Droge muss zur Oxidation der Anthrone gelagert oder künstlich gealtert werden (sonst: Brechreiz, Koliken, blutige Diarrhöen)

  • Legapas®

Premium-Login

Melden Sie sich für Ihren persönlichen Premium-Bereich auf pharma4u.de an.

Noch keinen Zugang? Jetzt registrieren

Kontakt

Brauchen Sie Hilfe? So erreichen Sie uns.

06196/202558-0
Mo - Fr, 9 - 13 Uhr
FAQ
Häufige Fragen